Skip to content Skip to sidebar Skip to footer

Contoh Lamaran Kerja Ke Dinas Kebersihan ~ 17+ Contoh Surat Lamaran Di Dinas Kesehatan - Kumpulan Contoh Gambar

Contoh Lamaran Kerja Ke Dinas Kebersihan ~ 17+ Contoh Surat Lamaran Di Dinas Kesehatan - Kumpulan Contoh Gambar. Sebuah hotel tentu membutuhkan tenaga cleaning service yang professional untuk tetap bisa menjaga kebersihan hotel dan bisa memberikan kenyamanan bagi pengunjung hotel dan tamu. Bermaksud untuk mengajukan lamaran sebagai staff it honorer pada dinas yang bapak/ibu pimpin. Format lamaran kerja ke kantor dinas kesehatan. Fotokopi kartu kuning dari dinas tenaga kerja. Dikesempatan kali ini kita akan membahas salah satu surat yang masih berkaitan untuk melamar pekerjaan, yaitu cv atau curriculum vitae.

Perhatikan kebersihan suatu surat lamaran kerja, jangan sampai ada coretan atau bekas penghapus dalam surat lamaran kerja, jika salah menulis lebih baik tulis ulang di kertas baru, jangan menggunakan stipo untuk menghapus. Contoh cv lamaran kerja marketing. Contoh surat lamaran kerja tanpa pengalaman kerja. Sebuah hotel tentu membutuhkan tenaga cleaning service yang professional untuk tetap bisa menjaga kebersihan hotel dan bisa memberikan kenyamanan bagi pengunjung hotel dan tamu. Berikut adalah beberapa contoh surat lamaran kerja di hotel yang bisa anda jadikan sebagai bahan referensi.

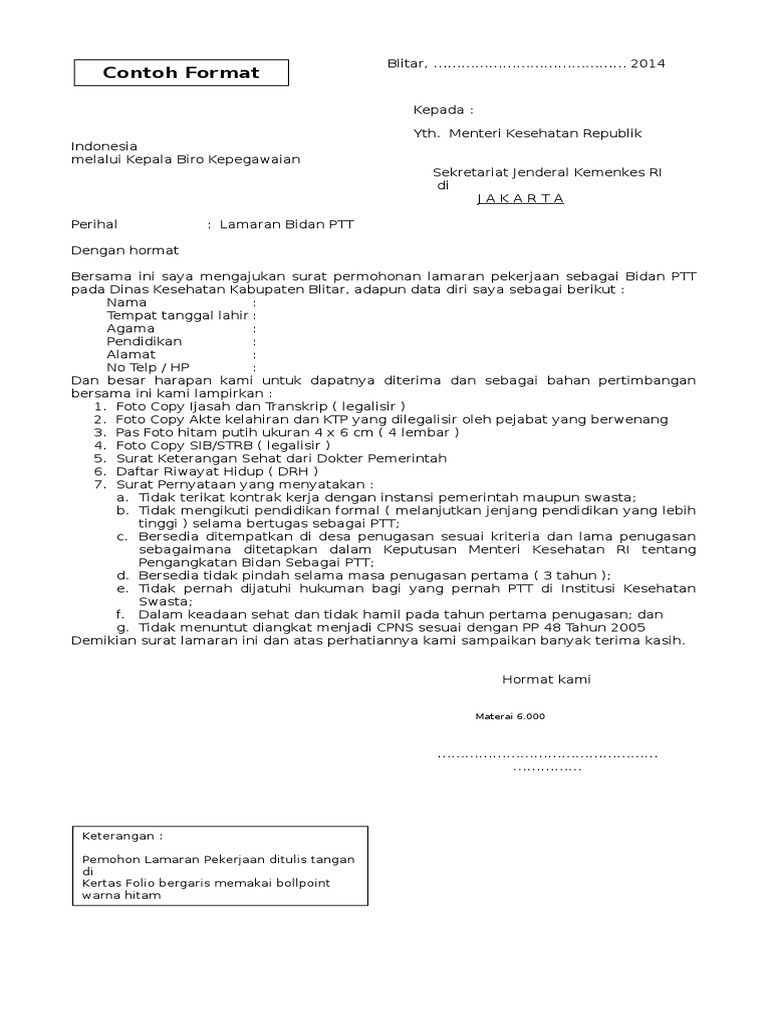
Surat Lamaran Kerja Bidan Ke Dinas Kesehatan - Contoh Surat Lamaran Kerja
Surat Lamaran Kerja Bidan Ke Dinas Kesehatan - Contoh Surat Lamaran Kerja from imgv2-1-f.scribdassets.com
Jadi seperti apa struktur dari sebuah surat. .kali ini untuk contoh surat lamaran kerja pegawai honorer kantor pemerintahan, semoga bermanfaat dan jangan lupa bagikan ke sosial media lain agar ahmad yani no.16, magersari, mojokerto, jawa timur 61311 dinas pendptan jalan letkol sumarjo no. Fotokopi kartu kuning dari dinas tenaga kerja. Selain surat lamaran kerja , cv tersebut merupakan sebuah dokumen yang bisa. Contoh surat lamaran kerja tanpa pengalaman kerja. Saat ini menjadi tenaga honorer masih banyak diminati banyak orang walaupun sebenarnya tenaga honorer ini tidak dapat langsung menjadi cpns karena untuk menjadi cpns harus melalui serangkaian tes terlebih dahulu. Apalagi bila anda sudah berkeluarga dan anda adalah seorang suami. Dikesempatan kali ini kita akan membahas salah satu surat yang masih berkaitan untuk melamar pekerjaan, yaitu cv atau curriculum vitae.

Jangan sampai terdapat bekas coretan.

Saya mengajukan diri untuk bergabung ke dalam tim marketing di pt. Menulis surat lamaran kerja yang baik dan benar merupakan hal yang cukup penting untuk dilakukan bagi calon dengan hormat, bersama ini saya mengajukan surat lamaran pekerjaan ke perusahaan yang bapak / ibu pimpin. Berikut adalah beberapa contoh surat lamaran kerja di hotel yang bisa anda jadikan sebagai bahan referensi. Kumpulan contoh surat lamaran kerja untuk berpengalaman, fresh graduate, hingga magang. Contoh cv lamaran kerja marketing. Fotokopi kartu kuning dari dinas tenaga kerja. Surat lamaran kerja merupakan salah satu syarat untuk mendapatkan pekerjaan yang ingin anda dapatkan. Panduan cara membuat surat lamaran seperti lamaran umum, fresh graduate, via email, tulis tangan, sebagai guru, cpns, di hotel, di bank, di toko, rumah sakit, berdasarkan iklan, bahasa inggris, +doc. Bagaimanapun juga apakah kamu layak diterima di sebuah perushaan apa tidak juga bergantung pada resume yang kamu kirimkan. Demikian info dari saya kali ini untuk contoh surat lamaran kerja pegawai honorer kantor pemerintahan, semoga bermanfaat dan jangan lupa bagikan ke sosial media lain agar teman teman dan orang lain pun bisa. Jika anda salah dalam penulisan, akan lebih baik untuk menulis ulang. Format dasar penulisan cv (curriculum vitae) yang baik dan benar. Besar harapan saya semoga bapak berkenan untuk memepertimbangkan permohonan kerja saya ini.

Contoh surat lamaran kerja merupakan surat yang ditulis baik menggunakan tangan maupun diketik. Format lamaran kerja ke kantor dinas kesehatan. Dan panduan tips melamar kerja agar cepat. Contoh surat lamaran kerja honorer dinas perhubungan sebagai akunting. Dan berikut kami akan memberikan contoh contoh surat lamaran kerja yang baik dan benar.

Contoh Surat Lamaran Kerja Ke Dinas Pupr
Contoh Surat Lamaran Kerja Ke Dinas Pupr from cdn.slidesharecdn.com
Hal tersebut berguna apabila anda di nyatakan lolos, maka pihak. Contoh surat lamaran kerja atau cara membuat surat lamaran kerja ke perusahaan swasta. Contoh surat lamaran dinas pertanian yogyakarta. Dan panduan tips melamar kerja agar cepat. Contoh lamaran pekerjaan dinas kebersihan dan pertanaman. Surat lamaran kerja diatas juga. Selain surat lamaran kerja , cv tersebut merupakan sebuah dokumen yang bisa. Fotokopi kartu kuning dari dinas tenaga kerja.

62, gedongan, magersari, kota mojokerto.

Hal tersebut berguna apabila anda di nyatakan lolos, maka pihak. Sebelum kita lanjut ke contoh surat lamaran, ada baiknya kamu membaca kriteria dan tips untuk membuat surat lamaran kerja yang baik dan benar. Contoh surat lamaran kerja ke kantor dinas. Selain surat lamaran kerja , cv tersebut merupakan sebuah dokumen yang bisa. Contoh lamaran pekerjaan dinas kebersihan dan pertanaman. Saya mengajukan diri untuk bergabung ke dalam tim marketing di pt. 62, gedongan, magersari, kota mojokerto. Contoh surat lamaran kerja atau cara membuat surat lamaran kerja ke perusahaan swasta. Dari data diri tersebut jangan lupa untuk menyertakan email maupun nomor handphone yang dapat dihubungi. Maka, tentu bekerja menjadi hal yang wajib bagi anda. Sebagai bahan pertimbangan saya lampirkan: Bagaimanapun juga apakah kamu layak diterima di sebuah perushaan apa tidak juga bergantung pada resume yang kamu kirimkan. Atau kamu sedang kuliah namun ingin magang di sebuah perusahaan?

Format lamaran kerja ke kantor dinas kesehatan. 62, gedongan, magersari, kota mojokerto. Syarat surat lamaran kerja berdasarkan depnaker. Dikesempatan kali ini kita akan membahas salah satu surat yang masih berkaitan untuk melamar pekerjaan, yaitu cv atau curriculum vitae. Saya mengajukan diri untuk bergabung ke dalam tim marketing di pt.

Contoh Surat Lamaran Kerja Dinas Koperasi Dan Ukm - Kumpulan Kerjaan
Contoh Surat Lamaran Kerja Dinas Koperasi Dan Ukm - Kumpulan Kerjaan from lh3.googleusercontent.com
Demikian info dari saya kali ini untuk contoh surat lamaran kerja pegawai honorer kantor pemerintahan, semoga bermanfaat dan jangan lupa bagikan ke sosial media lain agar teman teman dan orang lain pun bisa. Contoh lamaran pekerjaan dinas kebersihan dan pertanaman. Saya mengajukan diri untuk bergabung ke dalam tim marketing di pt. Perhatikan kebersihan suatu surat lamaran kerja, jangan sampai ada coretan atau bekas penghapus dalam surat lamaran kerja, jika salah menulis lebih baik tulis ulang di kertas baru, jangan menggunakan stipo untuk menghapus. Sebuah hotel tentu membutuhkan tenaga cleaning service yang professional untuk tetap bisa menjaga kebersihan hotel dan bisa memberikan kenyamanan bagi pengunjung hotel dan tamu. Syarat surat lamaran kerja berdasarkan depnaker. Sebagai bahan pertimbangan saya lampirkan: Bagi anda yang sedang berniat membuat dokumen lamaran kerja di sebuah institusi dan perusahaan tertentu, contoh surat lamaran kerja berikut ini jaya terus, seperti yang termuat dari harian fajar pada tanggal 14 oktober 2011.

Sebelum ke pembahasan utama mengenai contoh surat lamaran kerja, sebaiknya kita ketahui terlebih dahulu format, cara, dan tips dalam penulisan 5.

Saya mengajukan diri untuk bergabung ke dalam tim marketing di pt. Untuk itu tak lupa saya menyampaikan banyak terima kasih. Contoh surat lamaran kerja tanpa pengalaman kerja. Surat lamaran kerja diatas juga. Sebuah hotel tentu membutuhkan tenaga cleaning service yang professional untuk tetap bisa menjaga kebersihan hotel dan bisa memberikan kenyamanan bagi pengunjung hotel dan tamu. Sebelum ke pembahasan utama mengenai contoh surat lamaran kerja, sebaiknya kita ketahui terlebih dahulu format, cara, dan tips dalam penulisan 5. Besar harapan saya semoga bapak berkenan untuk memepertimbangkan permohonan kerja saya ini. .kali ini untuk contoh surat lamaran kerja pegawai honorer kantor pemerintahan, semoga bermanfaat dan jangan lupa bagikan ke sosial media lain agar ahmad yani no.16, magersari, mojokerto, jawa timur 61311 dinas pendptan jalan letkol sumarjo no. Sahabat 99, apakah kamu sedang bersiap untuk masuk ke dunia kerja? Tahukah anda, surat adalah salah satu sarana berkomunikasi yang bertujuan untuk menyampaikan informasi secara tertulis? Panduan cara membuat surat lamaran seperti lamaran umum, fresh graduate, via email, tulis tangan, sebagai guru, cpns, di hotel, di bank, di toko, rumah sakit, berdasarkan iklan, bahasa inggris, +doc. Contoh surat lamaran kerja merupakan surat yang ditulis baik menggunakan tangan maupun diketik. Bermaksud untuk mengajukan lamaran sebagai staff it honorer pada dinas yang bapak/ibu pimpin.

Post a Comment for "Contoh Lamaran Kerja Ke Dinas Kebersihan ~ 17+ Contoh Surat Lamaran Di Dinas Kesehatan - Kumpulan Contoh Gambar"